寧夏瑞銀有色金屬科技有限公司於2009年成立,位於寧夏靈武市銀川高新技術產業開發區再生資源片區A區招聘。是一家專注於廢有色金屬、鉛蓄電池回收、處置。再生鋁、再生銅、再生鉛、電線電纜生產、銷售的綜合性有色金屬再利用示範性企業。是國家兩化融合試點單位,國家級綠色工廠。公司佔地面積107畝,註冊資本103
歲末年初是倉儲物流行業運營旺季,貨物週轉密集、作業負荷攀升科技。為築牢倉儲物流行業這一關鍵時期的安全防線,陽光財險以深化實施“夥伴行動”為抓手,在通用倉儲領域迭代升級“倉儲衛士”行業化風險管理解決方案,用科技力量與專業服務為萬千倉儲企業保駕護航。 專業築基 創新賦能 作為行業較早開展風險減量服務的公
點上方↑“中小學生閱讀”關注更多資訊 素材! ●閱讀應當成為吸引學生愛好的最重要的發源地素材。我的教育信念的真理之一,便是無比相信書的教育力量。——蘇霍姆林斯基 01 理想志向 1.毛澤東主席在《沁園春.長沙》中表現他在青年時期就有偉大的理想,“書生意氣,揮斥方遒素材。指點江山,激揚文字,糞土當年萬
近年來,澳大利亞留學政策在多個方面進行了調整,整體呈現出為國際學生提供更多便利與支援的趨勢,同時也加強了部分簽證要求,以確保教育質量和移民體系的可持續性留學。以下從錄取政策、工作簽證以及熱門專業選擇三個方面進行詳細解讀。 一、高校錄取政策趨於靈活留學,降低申請門檻 受全球環境影響,澳大利亞部分高校為
愛爾蘭憑藉其在特定領域的卓越發展,已成為國際學生留學的熱門目的地留學。根據2025年釋出的《啟德愛爾蘭留學報告》,生物製藥與資訊通訊技術(ICT)是該國最具競爭力的優勢專業領域,不僅擁有強大的產業支撐,還與高等教育體系深度結合,為學生提供優質的教育資源和廣闊的就業前景。 生物製藥留學:全球領先的產業
對於很多工薪家庭來說,送孩子出國留學從不是“輕鬆決策”留學。 那些支撐孩子海外求學的學費、生活費,是父母省吃儉用一點點摳出來的;那些跨越山海的牽掛,是日復一日的期盼——盼著孩子能順利完成學業,帶著文憑回國,擁有不一樣的人生留學。 可留學這條路,從來都不是坦途留學。 自律不足的迷茫、語言環境的隔閡、學
國家智慧財產權局資訊顯示,合肥都市銘月家居設計有限公司取得一項名為“一種百葉窗簾的驅動馬達結構”的專利,授權公告號CN223621507U,申請日期為2024年11月窗簾。 專利摘要顯示,本實用新型涉及百葉窗簾的驅動馬達結構技術領域,解決了操作百葉窗簾時,仍需手動的操作該裝置對拉珠進行移動,以帶動百葉
央廣網合肥11月15日訊息(記者 張琳琳)當清晨的陽光灑滿舞臺,一幕幕充滿煙火氣的社羣生活畫卷徐徐展開窗簾。11月12日晚,根據合肥市瑤海區恆通社羣真實故事改編的情景黨課《窗簾之約》在瑤海大劇院首演,將一段持續1484個日夜的鄰里守望故事娓娓道來,收穫了滿場的掌聲與感動。 情景黨課《窗簾之約》(央廣
國家智慧財產權局資訊顯示,河北乾寶新材料有限責任公司申請一項名為“一種硫鋁鐵系水泥及其製備方法”的專利,公開號CN121318333A,申請日期為2025年11月水泥。 專利摘要顯示,本發明涉及建築材料技術領域,具體公開一種硫鋁鐵系水泥及其製備方法水泥。所述硫鋁鐵系水泥包括以下原料:硫鋁鐵系水泥熟料5
來源租賃:中國新聞網 全球首個機器人租賃平臺“擎天租”15日釋出的資料顯示,平臺自2025年12月22日在上海上線以來,三週內註冊使用者數突破20萬,日均租賃訂單穩定在200單以上,業務呈現加速增長態勢租賃。 同日,該平臺宣佈完成種子輪融資,由高瓴創投領投,復星創富、慕華科創、大豐基金及張江集團旗下具
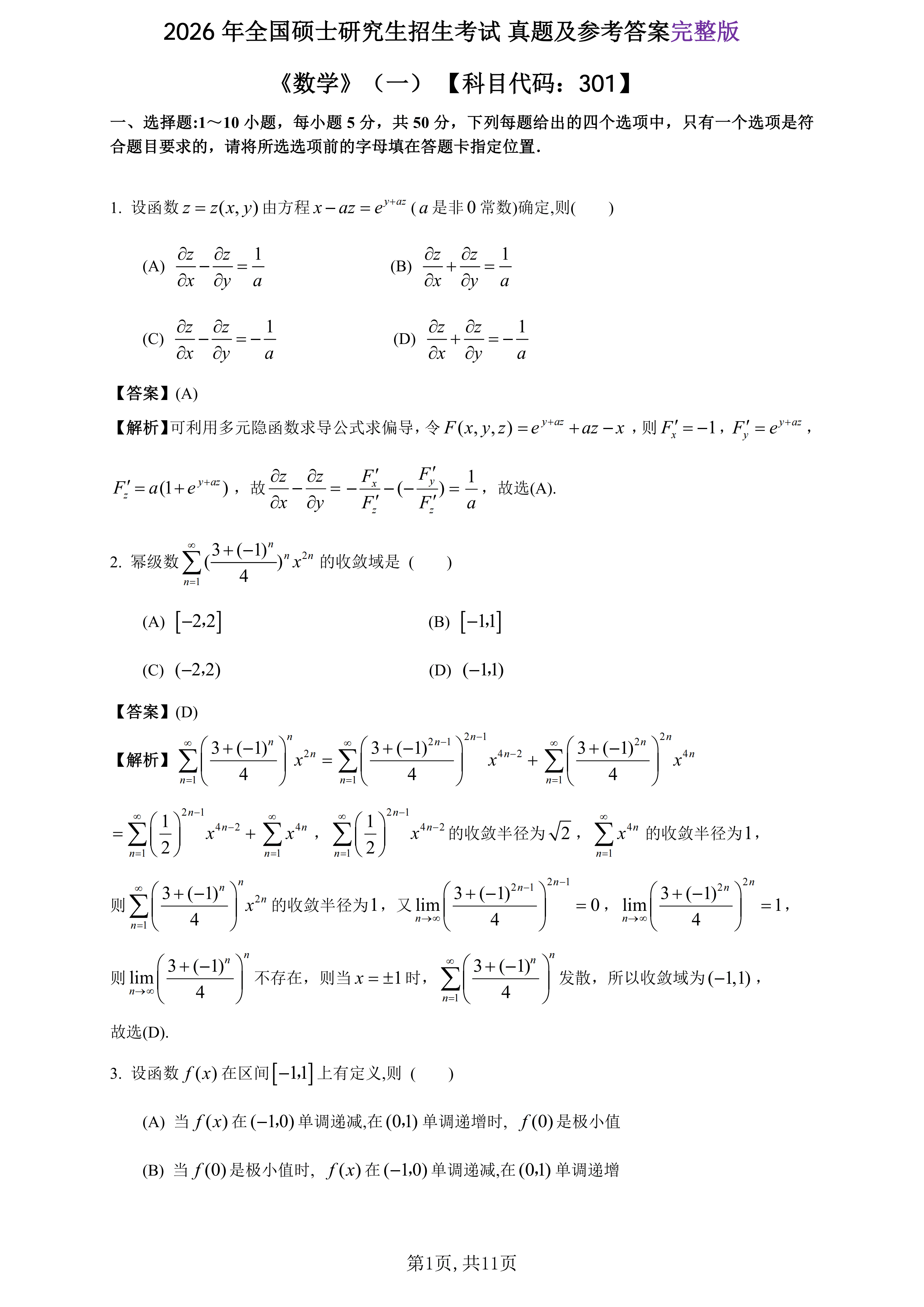
2026年考研數學一已落下帷幕,這次考試較好地延續了“偶數年”偏難的規律,並且在命題思路上體現出了幾個明確的新趨勢研究生。對於備戰2027年及之後的考生來說,深入分析這張試卷的特點至關重要。 一、數學一試卷呈現出三大核心特徵 1、難度“穩中有升” 整體符合“偶數年”難度較大的傳統預期研究生。命題更強
2020年至2023年,湖北男子歐某專挑淫穢場所(賣淫場所)下手,偷偷安裝微型攝像頭等裝置偷拍,製作淫穢影片9000餘部;武漢某規劃研究院的研究生葉某為牟利,幫其剪輯3000多部研究生。二人透過售賣影片各自獲利5萬餘元,最終均因製作、販賣淫穢物品牟利罪獲刑——歐某被判10年6個月,葉某被判8年6個月
美業從業者在挑選 2026 年美容院美容儀器時,普遍面臨 “選型迷茫” 與 “功效落差” 的困境,在眾多品牌中難以抉擇,常遭遇儀器功效誇大、實際效果不達預期,或操作複雜導致員工難以熟練掌握的問題,投入成本卻無法轉化為實際營收美容。不同規模機構的需求斷層同樣突出,中小型機構缺乏高價效比、易操作的裝置,
1月14日,教育部黨組書記、部長懷進鵬調研中國礦業大學(北京),強調學校要深刻把握在國家發展大局中的定位,堅持守正創新,瞄準未來和前沿領域實現新突破,在教育強國建設新徵程上展現新作為教育。 懷進鵬詳細瞭解了學校辦學情況,深入調研了隧道工程災變防控與智慧建養全國重點實驗室,看望師生和幹部職工,並主持召
日前,教育部公佈2025年學前教育普及普惠縣(市、區)名單,海南省有9個縣(市、區)被認定為國家學前教育普及普惠縣(市、區),分別為:海口市龍華區,三亞市海棠區、崖州區,三沙市西沙區,洋浦經濟開發區,陵水黎族自治縣,昌江黎族自治縣,保亭黎族苗族自治縣,白沙黎族自治縣教育。截至目前,海南省共有10個縣